SOLUTION: Please help and show all steps. Thanks Write an equation for a rational function with: Vertical asymptotes at x = -1 and x = 3 x intercepts at x = -4 and x = 4 Horizo

Algebra ->  Rational-functions -> SOLUTION: Please help and show all steps. Thanks Write an equation for a rational function with: Vertical asymptotes at x = -1 and x = 3 x intercepts at x = -4 and x = 4 Horizo      Log On


   



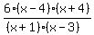
Question 1023622: Please help and show all steps. Thanks
Write an equation for a rational function with:
Vertical asymptotes at x = -1 and x = 3
x intercepts at x = -4 and x = 4
Horizontal asymptote at y = 6
y =

Answer by josgarithmetic(39618) About Me  (Show Source):
You can put this solution on YOUR website!
.
Undefined at x=-1 and x=3.
Zeros for x=-4 and x=4.

6%28x-4%29%28x%2B4%29%2F%28%28x%2B1%29%28x-3%29%29