Question 1019516: How do I solve (3x+2/x+1) > 4 ?
Found 2 solutions by josgarithmetic, ikleyn: Answer by josgarithmetic(39620) (Show Source):
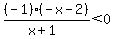
You can put this solution on YOUR website! All terms and expressions on one side and 0 on the other side.
Steps to use your fractions-skills.
, and now your algebra skills.

Critical values of x are at -2 and -1.
The intervals on the number line to check will be, shown in their interval-notation: ( -infinity,-2), (-2,-1), and (-1, infinity).
Pick any value inside each interval and check how this affects the sign (as "less than zero" or not).
interval pick value expression LESS THAN ZERO?
(-infin,-2) -3 (-1)/(-2)=1/2 NO
(-2,-1) -3/2 (-1.5+2)/(-1.5+1) YES
(-1,infin) 0 2/1=2 NO
The actually more correct way to check the intervals is to use the ORIGINAL inequality, instead of the transformed version of it as done in the table here. Even so, the solution seems to be .
Answer by ikleyn(52807) (Show Source):
|
|
|