SOLUTION: How do you solve this rational equation?: (2x-5/x-3) - 2 = (3/x+3) Thank you for your help, I just can't figure out the LCM. I thought it was (x + 3) which gave me x = 2, but wh

Algebra ->  Rational-functions -> SOLUTION: How do you solve this rational equation?: (2x-5/x-3) - 2 = (3/x+3) Thank you for your help, I just can't figure out the LCM. I thought it was (x + 3) which gave me x = 2, but wh      Log On


   



Question 1015909: How do you solve this rational equation?:
(2x-5/x-3) - 2 = (3/x+3)
Thank you for your help, I just can't figure out the LCM. I thought it was (x + 3) which gave me x = 2, but when I checked the work it seems I was wrong.

Found 2 solutions by Fombitz, macston:
Answer by Fombitz(32388) About Me  (Show Source):
You can put this solution on YOUR website!
Multiply both sides by %28x%2B3%29%28x-3%29.
%282x-5%29%28x%2B3%29-2%28x%2B3%29%28x-3%29=3%28x-3%29
2x%5E2%2B6x-5x-15-2%28x%5E2-9%29=3x-9
2x%5E2%2Bx-15-2x%5E2%2B18=3x-9
x%2B3=3x-9
-2x=-12
x=6
Verifying,
%282%286%29-5%29%2F%286-3%29-2=3%2F%286%2B3%29
%2812-5%29%2F3-3=3%2F9
7%2F3-6%2F3=1%2F3
1%2F3=1%2F3
True, good solution.

Answer by macston(5194) About Me  (Show Source):
You can put this solution on YOUR website!
.
%28%282x-5%29%2F%28x-3%29%29-2=%283%2F%28x%2B3%29%29
.

.

.
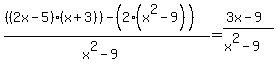
%282x%5E2%2B6x-5x-15%29-%282x%5E2-18%29=3x-9
.
2x%5E2%2Bx-15-2x%5E2%2B18=3x-9
.
x%2B3=3x-9
.
x%2B12=3x
.
12=2x
.
6=x
.
CHECK:
.
%28%282x-5%29%2F%28x-3%29%29-2=%283%2F%28x%2B3%29%29
.
%28%282%286%29-5%29%2F%286-3%29%29-2=%283%2F%286%2B3%29%29
.
%28%2812-5%29%2F3%29-2=3%2F9
.
%287%2F3%29-%286%2F3%29=1%2F3
.
1%2F3=1%2F3