SOLUTION: n=3 2 and 2i are zeros f(-1)=-15 What does f(x) =

Algebra ->  Rational-functions -> SOLUTION: n=3 2 and 2i are zeros f(-1)=-15 What does f(x) =      Log On


   



Question 1010032: n=3
2 and 2i are zeros
f(-1)=-15
What does f(x) =

Found 2 solutions by MathLover1, fcabanski:
Answer by MathLover1(20850) About Me  (Show Source):
You can put this solution on YOUR website!
+n=3=> degree 3
x%5B1%5D=2 and x%5B2%5D=2i are zeros
if x%5B2%5D=2i is zero, then x%5B3%5D=+-2i is zero too, complex zeros always come in pairs
so, we use zero product theorem to find the polynomial
given also f%28-1%29=-15, but since all three roots are given, this will not be used
then +f%28x%29+=+%28x-x%5B1%5D%29+%28x-x%5B2%5D%29+%28x-x%5B3%5D%29
f%28x%29+=+%28x-2%29+%28x-2i%29+%28x-%28-2i%29%29
f%28x%29+=+%28x-2%29+%28x-2i%29+%28x%2B2i%29
f%28x%29+=+%28x-2%29+%28x%5E2-%282i%29%5E2%29
f%28x%29+=+%28x-2%29+%28x%5E2-4%28i%29%5E2%29
f%28x%29+=+%28x-2%29+%28x%5E2-4%28-1%29%29+
f%28x%29+=+%28x-2%29+%28x%5E2%2B4%29+
+f%28x%29+=+x%5E3%2B4x-2x%5E2-8
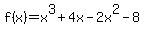
f%28x%29+=+x%5E3-2x%5E2%2B4x-8=> your answer

now, we can check if f%28-1%29=-15
f%28-1%29+=+%28-1%29%5E3-2%28-1%29%5E2%2B4%28-1%29-8
f%28-1%29+=+-1-2%281%29-4-8
f%28-1%29+=+-1-2-4-8
f%28-1%29+=+-15



Answer by fcabanski(1391) About Me  (Show Source):
You can put this solution on YOUR website!
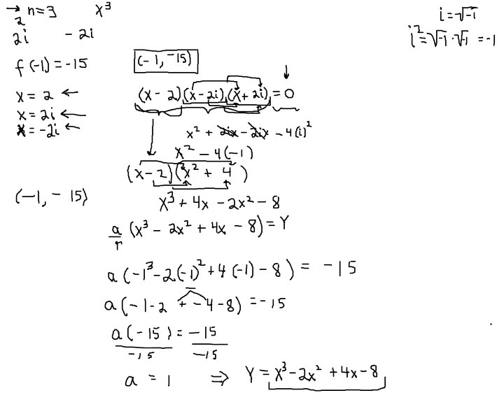
The image with explanation is attached. For more explanation, you can view the video: https://youtu.be/v1xq95q_5L8