SOLUTION: I am very stuck. I can't figure out how to solve this. I know it involves pythagorean theorem, but I don't know how to solve it without legs. Can you help me, please? There

Algebra ->  Rational-functions -> SOLUTION: I am very stuck. I can't figure out how to solve this. I know it involves pythagorean theorem, but I don't know how to solve it without legs. Can you help me, please? There       Log On


   



Question 1009273: I am very stuck. I can't figure out how to solve this. I know it involves pythagorean theorem, but I don't know how to solve it without legs. Can you help me, please?
There are two tvs of different sizes. One is a 42" diagonal TV that costs $420, the other is a 50" diagonal tv that costs $550. The aspect ratio of each is 16:9, width to height. What is the cost per square inch of each tv?
Thank you in advance!

Answer by josgarithmetic(39620) About Me  (Show Source):
You can put this solution on YOUR website!
w for width, y for height;
Express the ratios as w/y for "width to height". This is 16%2F9. Further, w%2Fy=16%2F9 applies to each of the TVs.

Each TV can be cut along a diagonal to form two right triangles, of legs w and y, and the diagonal is hypotenuse.

The 42 inch, $420 TV
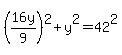
system%28w%5E2%2By%5E2=42%5E2%2Cw%2Fy=16%2F9%29
system%28w%5E2%2By%5E2=42%5E2%2Cw=16y%2F9%29
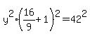
%2816y%2F9%29%5E2%2By%5E2=42%5E2
y%5E2%2816%2F9%2B1%29%5E2=42%5E2
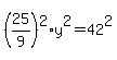
%2825%2F9%29%5E2%2Ay%5E2=42%5E2
y%5E2=%289%2F25%29%5E2%2A42%5E2
y=%289%2A42%29%2F25
highlight%28y=225%2F42%29
-
Use the aspect ratio again.
w=%2816%2F9%29%2Ay
w=%2816%2F9%29%28225%2F42%29
w=16%2A25%2F42
w=8%2A25%2F21
w=200%2F21
highlight%28w=200%2F21%29
-
The area for this TV screen is w%2Ay=%28200%2F21%29%28225%2F42%29=%28100%2A225%29%2F%2821%2A21%29
wy=22500%2F21%5E2
highlight%28wy=51.02%29 square inches
-
The cost per square inch is 420%2F51.02=highlight%28highlight%288.23%28dollars%2FsquareInch%29%29%29.


The 50 inch, $550 TV
Can you do this one?