SOLUTION: ((x^3-y^3)/(x+y)) times ((3x^2-3y^2)/(x^2+xy+y^2)) I must multiple these two functions by using least common denominators (LCD)

Algebra ->  Rational-functions -> SOLUTION: ((x^3-y^3)/(x+y)) times ((3x^2-3y^2)/(x^2+xy+y^2)) I must multiple these two functions by using least common denominators (LCD)      Log On


   



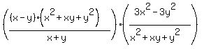
Question 1008501: ((x^3-y^3)/(x+y)) times ((3x^2-3y^2)/(x^2+xy+y^2))
I must multiple these two functions by using least common denominators (LCD)

Answer by MathLover1(20850) About Me  (Show Source):
You can put this solution on YOUR website!

%28%28x%5E3-y%5E3%29%2F%28x%2By%29%29++%28%283x%5E2-3y%5E2%29%2F%28x%5E2%2Bxy%2By%5E2%29%29+
recall that x%5E3-y%5E3=%28x-y%29%28x%5E2%2Bxy%2By%5E2%29

...simplify



%28%28x-y%29%2F%28x%2By%29%29++%283%28x%5E2-y%5E2%29%2F1%29+.......x%5E2-y%5E2=%28x-y%29%28x%2By%29

%28%28x-y%29%2F%28x%2By%29%29+%283%28x-y%29%28x%2By%29%29+...simplify

%28%28x-y%29%2Fcross%28%28x%2By%29%29%29+3cross%28+%28x%2By%29%29%28x-y%29%29+

3%28x-y%29+%28x-y%29+

3%28x-y%29+%5E2+