SOLUTION: A rocket is launched from the top of a cliff that is 80 feet high with an initial velocity of 80 feet per second. The height, h(t), of the rocket after t seconds is given by the eq

Algebra ->  Rational-functions -> SOLUTION: A rocket is launched from the top of a cliff that is 80 feet high with an initial velocity of 80 feet per second. The height, h(t), of the rocket after t seconds is given by the eq      Log On


   



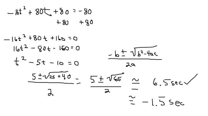
Question 1002781: A rocket is launched from the top of a cliff that is 80 feet high with an initial velocity of 80 feet per second. The height, h(t), of the rocket after t seconds is given by the equation....
h(t)=-16t^2 + 80t + 80
How long after the rocket is launched will it strike the ground? Round to the nearest tenth of a second, if necessary.

Answer by fcabanski(1391) About Me  (Show Source):