SOLUTION: A mason and his assistant work together for 4 hours on a brick fireplace before the mason has to leave the job. The assistant finishes the job alone in 10 hours. If the mason can c

Algebra ->  Rate-of-work-word-problems -> SOLUTION: A mason and his assistant work together for 4 hours on a brick fireplace before the mason has to leave the job. The assistant finishes the job alone in 10 hours. If the mason can c      Log On


   



Question 914657: A mason and his assistant work together for 4 hours on a brick fireplace before the mason has to leave the job. The assistant finishes the job alone in 10 hours. If the mason can construct a fireplace in 12 hours working alone, how long does it take his assistant working alone to construct a fireplace?
I know this is a work problem and r*t=wc. If the problem was straight forward I would set it up as X/10 + x/12 =1 but how do i account for the fours hours already worked together?

Found 2 solutions by josgarithmetic, josmiceli:
Answer by josgarithmetic(39799) About Me  (Show Source):
You can put this solution on YOUR website!
Work-problems like this are a type of Uniform Rates problem. Try this equational format: RT=J for rate, time, amount of job. The rates are in dimension of JOBS%2FTIME for 1 unit of time, usually.

Look at the rates for these workers.
Mason, 1%2F12
Assistant, 1%2Fx
Mason+Assistant, 1%2F12%2B1%2Fx

The sum of their individual rates is their rate when they work together. We do not yet know the time needed for the assistant to do this 1 job alone; but I am calling this time, x.

The arrangement of the time and the workers was to do 1 whole job. They work together 4 hours and then assistant works alone to finish in 10 hours.
highlight%28%281%2F12%2B1%2Fx%294%2B%281%2Fx%29%2A10=1%29

The question essentially asks for finding the value of x.
See the way the equation uses the uniform rates rule!

Answer by josmiceli(19441) About Me  (Show Source):
You can put this solution on YOUR website!
Let +x+ = the fraction of the job they get
done while working together
----------------------------
Let +t+ = time for assistant to finish
the job working alone
--------------------
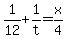
(1) +1%2F12+%2B+1%2Ft+=+x%2F4+
--------------------
Equation for the assistant working alone:
(2) +1%2Ft+=+%28%28+1-x+%29%29+%2F+10+
--------------------
Multiply both sides of (1) by +12t+
(1) +t+%2B+12+=+3t%2Ax+
(1) +x+=+1%2F3+%2B+4%2Ft+
---------------------
Multiply both sides of (2) by +10t+
(2) +10+=+t%2A%28+1-x+%29+
(2) +10+=+t+-+t%2Ax+
(2) +t%2Ax+=+t+-+10+
(2) +x+=+1+-+10%2Ft+
---------------------
Set (1) = (2)
+1%2F3+%2B+4%2Ft+=+1+-+10%2Ft+
+%28%28+4+%2B+10+%29%29+%2F+t+=+1+-+1%2F3+
+14%2Ft+=+2%2F3+
+42+=+2t+
+t+=+21+
------------
The assistant working alone
takes 21 hrs
------------
check:
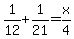
(1) +1%2F12+%2B+1%2Ft+=+x%2F4+
(1) +1%2F12+%2B+1%2F21+=+x%2F4+
Multiply both sides by +84+
(1) +7+%2B+4+=+21x+
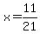
(1) +x+=+11%2F21+
That means:
+1+-+x+=+10%2F21+
-----------------
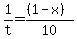
(2) +1%2Ft+=+%28%28+1-x+%29%29+%2F+10+
(2) +1%2F21+=+%28%2810%2F21%29%29+%2F+10+
Multiply both sides by +210+
(2) +10+=+10+
OK
Hope I got it