Jane and Maria clean the house in 8 hours if they work together. the time that Jane takes in cleaning the house alone is 4 hours more than the time Maria takes in cleaning the same house. How long does it take Jane to clean the house alone? How about Maria?
Let x = the number of hours it takes Maria to clean the house.
Therefore Maria's work rate is 1 house cleaned per x hours or


>>the time that Jane takes in cleaning the house alone is 4 hours more than the time Maria takes in cleaning the same house.<<
Therefore Jane's work rate is 1 house cleaned per x+4 hours or


>>Jane and Maria clean the house in 8 hours if they work together.<<
Therefore their combined work rate is 1 house cleaned per 8 hours or


The equation comes from the sum of their individual work rates equals
their combined work rate:


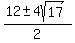
Multiply through by LCD of 8x(x+4)




















So it takes Maria about 14.25 hours or about 14 hours and 15 minutes
to clean the house by herself.
It takes Jane 4 hours longer or about 18 hours and 15 minutes to clean
the house by herself.
Edwin