SOLUTION: Monica takes one hour to wash a car and Hilary takes one hour to wash a car. If they work together, how long will it take them to wash one car? Monica, still, takes one hour to

Algebra ->  Rate-of-work-word-problems -> SOLUTION: Monica takes one hour to wash a car and Hilary takes one hour to wash a car. If they work together, how long will it take them to wash one car? Monica, still, takes one hour to      Log On


   



Question 875067: Monica takes one hour to wash a car and Hilary takes one hour to wash a car. If they work together, how long will it take them to wash one car?
Monica, still, takes one hour to wash a car and Bill takes two hours to wash a car. If they work together, how long will it take them to wash one car?

Answer by ewatrrr(24785) About Me  (Show Source):
You can put this solution on YOUR website!
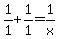
1%2F1+%2B+1%2F1+=+1%2Fx
x + x = 1
2x = 1
x = 1/2 hr