SOLUTION: One pipe can empty a tank 5 times faster than another pipe can fill the tank. Starting with a full tank, if both pipes are turned on, it takes 10 hours to empty the tank. How long
Algebra ->
Rate-of-work-word-problems
-> SOLUTION: One pipe can empty a tank 5 times faster than another pipe can fill the tank. Starting with a full tank, if both pipes are turned on, it takes 10 hours to empty the tank. How long
Log On
Question 839140: One pipe can empty a tank 5 times faster than another pipe can fill the tank. Starting with a full tank, if both pipes are turned on, it takes 10 hours to empty the tank. How long does it take the slower pipe working alone to fill an empty tank? Answer by josmiceli(19441) (Show Source):
You can put this solution on YOUR website! Let = the rate for the faster pipe
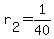
Let = the rate for the slower pipe
------------------------
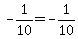
The rate of emptying the tank with both pipes
turned on is:
( 1 tank emptied ) / ( 10 hrs )
I can say: ( emptying is a negative rate )
The slower pipe takes 40 days to fill an empty tank
check:
OK