SOLUTION: I need to pump water out of a swimming pool. My first pump will remove all the water in one hour. My second pump will remove all the water in four hours. How long will it take to r

Algebra ->  Rate-of-work-word-problems -> SOLUTION: I need to pump water out of a swimming pool. My first pump will remove all the water in one hour. My second pump will remove all the water in four hours. How long will it take to r      Log On


   



Question 732697: I need to pump water out of a swimming pool. My first pump will remove all the water in one hour. My second pump will remove all the water in four hours. How long will it take to remove all of the water in the pool using both pumps?
Answer by josmiceli(19441) About Me  (Show Source):
You can put this solution on YOUR website!
Add the rate of pumping
+1%2F1+%2B+1%2F4+=+1%2Ft+
+4t+%2B+t+=+4+
+5t+=+4+
+t+=+4%2F5+
+%284%2F5%29%2A60+=+48+
It will take 48 min using both pumps
check:
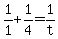
+1%2F1+%2B+1%2F4+=+1%2F%284%2F5%29+
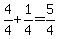
+4%2F4+%2B+1%2F4+=+5%2F4+
+5%2F4+=+5%2F4+
OK