SOLUTION: Three pipes can fill a pool in eight hours. A drain can empty the full pool in twelve hours. How many hours will it take to fill a quarter of the pool if the three pipes and the dr

Algebra ->  Rate-of-work-word-problems -> SOLUTION: Three pipes can fill a pool in eight hours. A drain can empty the full pool in twelve hours. How many hours will it take to fill a quarter of the pool if the three pipes and the dr      Log On


   



Question 696749: Three pipes can fill a pool in eight hours. A drain can empty the full pool in twelve hours. How many hours will it take to fill a quarter of the pool if the three pipes and the drain are open?
Answer by josmiceli(19441) About Me  (Show Source):
You can put this solution on YOUR website!
It doesn't matter that there are 3 pipes. It only matters
that all 3 are open, and, by themselves, they fill
the pool in 8 hrs.
------------------
Add the rate of filling and subtract the rate of draining
to get the rate of filling
----------------------
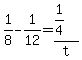
( 1 pool filled ) / ( 8 hrs ) - ( 1 pool drained ) / ( 12 hrs ) = ( 1/4 pool filled ) ( t hrs )
+1%2F8+-+1%2F12+=+%281%2F4%29+%2F+t+
Bring the +4+ down to the denominator
+1%2F8+-+1%2F12+=+1+%2F%284t%29+
Multiply both sides by +24t+
+3t+-+2t+=+6+
+t+=+6+
1/4 of the pool will be filled in 6 hrs