SOLUTION: Two pipes are used to fill the water for the swimming pool in the park. Pipe A can fill the pool in 5 hours B can fill it in 4 hours. If A is turned on and B is turned on 30 minute
Algebra ->
Rate-of-work-word-problems
-> SOLUTION: Two pipes are used to fill the water for the swimming pool in the park. Pipe A can fill the pool in 5 hours B can fill it in 4 hours. If A is turned on and B is turned on 30 minute
Log On
Question 674942: Two pipes are used to fill the water for the swimming pool in the park. Pipe A can fill the pool in 5 hours B can fill it in 4 hours. If A is turned on and B is turned on 30 minutes later then how long will it take to fill the pool? Answer by josmiceli(19441) (Show Source):
You can put this solution on YOUR website! How much of the pool is filled by
pipe A in 1/2 hr ?
( 1 pool /5 hrs ) x ( 1/2 ) = 1/10 of a pool
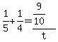
There is now 9/10 of the pool left to fill
Let = the time to fill 9/10 of the pool
Used together, the rates of A and B add
Multiply both sides by
The total time to fill the pool is 2 and 1/2 hrs
When A and B are filling together, they take 2 hrs to finish