SOLUTION: The big man could do 1/3 of a job in 4 hours. The little man could do 1/2 of the job in 2 hours. If the little man needed to complete 30 jobs and worked for 2 hours alone and then

Algebra ->  Rate-of-work-word-problems -> SOLUTION: The big man could do 1/3 of a job in 4 hours. The little man could do 1/2 of the job in 2 hours. If the little man needed to complete 30 jobs and worked for 2 hours alone and then       Log On


   



Question 514762: The big man could do 1/3 of a job in 4 hours. The little man could do 1/2 of the job in 2 hours. If the little man needed to complete 30 jobs and worked for 2 hours alone and then was joined by the big man, how long did it take both of them to finish the remaining jobs?
Answer by josmiceli(19441) About Me  (Show Source):
You can put this solution on YOUR website!
The big man can do 1/3 of a job in 4 hours
To do 3 times this amount of work, takes
him 3 times as long
So to do +3%2A%281%2F3%29+=+1+ job takes +4%2A3+=+12+ hrs
---------------
The little man can do 1/2 a job in 2 hrs
and also +2%2A%281%2F2%29+=+1+ job in 4 hrs
So there is +30+-+1%2F2+=+29.5+ jobs left to do
Now the big man joins him
------------
Add their rates of working to get their rate
working together
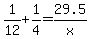
++1%2F12+%2B+1%2F4+=+29.5%2Fx+
Multiply both sides by +12x+
+x+%2B+3x+=+354+
+4x+=+354+
+x+=+88.5+
It takes them 88 and 1/2 hrs to finish the jobs
working together