SOLUTION: Marian can weed a garden in 3 hours. robin can weed a garden in 4 hours. how long will it take them to weed a garden if they work together

Algebra ->  Rate-of-work-word-problems -> SOLUTION: Marian can weed a garden in 3 hours. robin can weed a garden in 4 hours. how long will it take them to weed a garden if they work together      Log On


   



Question 446749: Marian can weed a garden in 3 hours. robin can weed a garden in 4 hours. how long will it take them to weed a garden if they work together
Answer by josmiceli(19441) About Me  (Show Source):
You can put this solution on YOUR website!
Add their rates of working
Marion's rate: +1%2F3+
Robin's rate: +1%2F4+
If x = the time if both work together,
Rate working together = +1%2Fx+
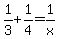
+1%2F3+%2B+1%2F4+=+1%2Fx+
multiply both sides by +12x+
+4x+%2B+3x+=+12+
+7x+=+12+
+x+=+1+%2B+5%2F7+
They will take 1 and 5/7 hours