SOLUTION: two cyclist start biking from a trail's start 3 hours apart. the second cylist travels at 10 mph and starts 3 hours after the first cyclist who is traveling at 6 mph.
Algebra ->
Rate-of-work-word-problems
-> SOLUTION: two cyclist start biking from a trail's start 3 hours apart. the second cylist travels at 10 mph and starts 3 hours after the first cyclist who is traveling at 6 mph.
Log On
Question 44395: two cyclist start biking from a trail's start 3 hours apart. the second cylist travels at 10 mph and starts 3 hours after the first cyclist who is traveling at 6 mph. Answer by adamchapman(301) (Show Source):
You can put this solution on YOUR website! = distance travelled by first cyclist = distance travelled by second cyclist = speed of first cyclist = 6 mph = speed of second cyclist = 10 mph = time first cyclist has been travelling = time second cyclist has been travelling
We know that speed is eqaul to distance divided by time:
so and .
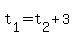
We also know that when the second cyclist starts, the first has been travelling for three hours, so
When the second cyclist catches up with th first, the distance travelled by each cyclist is the same: .
We are looking to find .
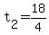
From the working, we can deduce:
So 4.5 hours will pass before the second cyclist catches up with the first from the time when the second cyclist started biking.
I hope this helps.
P.S. I am trying to start up my own homework help website. I would be extremely grateful if you would e-mail me some feedback on the help you received to adam.chapman@student.manchester.ac.uk