SOLUTION: Diane can paint a house in 8 hours. Anne can paint a house in 10 hours. What is the fraction that they paint the house together in 2 hours?

Algebra ->  Rate-of-work-word-problems -> SOLUTION: Diane can paint a house in 8 hours. Anne can paint a house in 10 hours. What is the fraction that they paint the house together in 2 hours?      Log On


   



Question 3324: Diane can paint a house in 8 hours. Anne can paint a house in 10 hours. What is the fraction that they paint the house together in 2 hours?
Found 2 solutions by gsmani_iyer, filboi:
Answer by gsmani_iyer(201) About Me  (Show Source):
You can put this solution on YOUR website!


Diane can paint a house in 8 hrs.

So hrs.taken by Diane to finish 1%2F2of the painting the house = 4 hrs.

similarly Anne can finish painting 1%2F2of the house = 5 hrs.

So they can finish painting of the full house together in (4 + 5) 9 hrs.

So the work finished by them together in 2 hrs = 2%2F9 of the work.

2%2F9 Answer.


gsm






Answer by filboi(35) About Me  (Show Source):
You can put this solution on YOUR website!
Diane 1%2F8 or 1 house in 8hrs
Anne 1%2F10 or 1 house in 10hrs
Working together (since they are painting simultaneously),
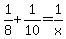
1%2F8+%2B+1%2F10+=+1%2Fx
Solving for x will give us x=40/9 or 4.44hrs to paint the house together.
Now if we want to solve the portion of the house painted in 2hrs, we can use the above formula as follows:
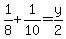
1%2F8+%2B+1%2F10+=+y%2F2
Solving for y gives us y=9/20 of the house painted in 2hrs.
So the answer is 9%2F20.