Can you please help me with this "filling storage tanks" word problem? Two pipes ure used to fill a water storage tank. The first pipe can fill the tank in 4hrs, and the two pipes together can fill the tank in 2 hrs less time than the second pipe alone. How long would it take for the second pipe to fill the tank? please show me all the steps and please get back before Tues 10am.
Make this chart
# tanks filled rate in tanks/hr time in hrs
1st pipe
2nd pipe
together
Let's let t represent the number of hours for the second
pipe to fill 1 tank. So we fill in 1 for the # of tanks
filled and t for the time in hours.
tanks filled rate in tanks/hr time in hrs
1st pipe
2nd pipe 1 t
together
>>...The first pipe can fill the tank in 4hrs...<<
So that's 1 tank in 4 hours, so fill in 1 for the
tanks filled, and 4 for the time:
# tanks filled rate in tanks/hr time in hrs
1st pipe 1 4
2nd pipe 1 t
together
>>...the two pipes together can fill the tank in 2 hrs less time than the second pipe alone...<<
So together they fill exactly 1 tank in t-2 hours. So
fill in 1 for the # tanks filled an t-2 for the number of hours
# tanks filled rate in tanks/hr time in hrs
1st pipe 1 4
2nd pipe 1 t
together 1 t-2
To find the rates in tanks per hr, we divide the number
of tanks by the number of hours in each case:
# tanks filled rate in tanks/hr time in hrs
1st pipe 1 1/4 4
2nd pipe 1 1/t t
together 1 1/(t-2) t-2
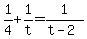
The rate together is equal to the sum of the separate rates,
so
(Rate of 1st pipe) + (Rate of 2nd pipe) = (Rate together)
So the equation is
Solve that and get two solutions
and
The negative solution is discarded and
the only solution is 4 hours for the
second pipe to fill the tank.
Edwin