|
Question 1158453: A cyclist travels 60 km. If he reduces his speed by 2km/h, he will take one hour longer. Find the original speed of the cyclist.
Found 3 solutions by ikleyn, Shin123, MathTherapy: Answer by ikleyn(52805) (Show Source): Answer by Shin123(626) (Show Source):
You can put this solution on YOUR website! The cyclist originally traveled x km/h. It takes him hours to travel 60 km. If he travels (x-2) km/h, it will take him hours, which is equal to . Multiplying both sides by , we get . . 
Solved by pluggable solver: COMPLETING THE SQUARE solver for quadratics |
Read this lesson on completing the square by prince_abubu, if you do not know how to complete the square. Let's convert to standard form by dividing both sides by 1:
We have: .
What we want to do now is to change this equation to a complete square . How can we find out values of somenumber and othernumber that would make it work?
Look at : . Since the coefficient in our equation that goes in front of x is -2, we know that -2=2*somenumber, or . So, we know that our equation can be rewritten as , and we do not yet know the other number.
We are almost there. Finding the other number is simply a matter of not making too many mistakes. We need to find 'other number' such that is equivalent to our original equation .

The highlighted red part must be equal to -120 (highlighted green part).
, or .
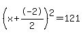
So, the equation converts to , or .
Our equation converted to a square , equated to a number (121).
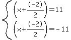
Since the right part 121 is greater than zero, there are two solutions:

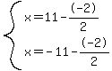
, or




Answer: x=12, -10.
|
A speed can't be negative, so his original speed is 12 km/hr.
Answer by MathTherapy(10553) (Show Source):
|
|
|
| |