SOLUTION: Working together, Tumelo and Jan can sand a floor in five eights of the time that it takes Jan to sand it by himself. Jan takes 6 hours to sand the floor alone. How long does it t

Algebra ->  Rate-of-work-word-problems -> SOLUTION: Working together, Tumelo and Jan can sand a floor in five eights of the time that it takes Jan to sand it by himself. Jan takes 6 hours to sand the floor alone. How long does it t      Log On


   



Question 1140362: Working together, Tumelo and Jan can sand a floor in five eights of the time that it takes Jan to sand it by himself. Jan takes 6 hours to sand the floor alone. How long does it take Thumelo to sand the floor by himself
Answer by josmiceli(19441) About Me  (Show Source):
You can put this solution on YOUR website!
Jan's rate of working is
[ 1 floor sanded ] / [ 6 hrs ] = +1%2F6+
Let +t+ = Thumelo's time working alone
+1%2F%28+%285%2F8%29%2A6+%29+=+4%2F15+
Add their rates of working to get their rate working together
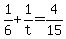
+1%2F6+%2B+1%2Ft+=+4%2F15+
Multiply both sides by +90t+
+15t+%2B+90+=+24t+
+9t+=+90+
+t+=+10+
It takes him 10 hrs working alone
---------------------------------------
check:
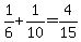
+1%2F6+%2B+1%2F10+=+4%2F15+
Multiply both sides by +30+
+5+%2B+3+=+8+
+8+=+8+
OK