SOLUTION: Find the average rate of change of g(x) = -3x^2 +7 from x=5 to x=9. Simplify your answer as much as possible. NOTES: I am not sure how to approach this problem because two

Algebra ->  Rate-of-work-word-problems -> SOLUTION: Find the average rate of change of g(x) = -3x^2 +7 from x=5 to x=9. Simplify your answer as much as possible. NOTES: I am not sure how to approach this problem because two       Log On


   



Question 1068537: Find the average rate of change of g(x) = -3x^2 +7 from x=5 to x=9.
Simplify your answer as much as possible.
NOTES: I am not sure how to approach this problem because two values for x are given.
x=5 to x=9
When I plug in x=5, I get -68
When I plug in x=9, I get -236
How do I answer the question of "average rate of change .... from x=5 to x=9
Step by step solution is appreciated.

Found 2 solutions by Fombitz, Boreal:
Answer by Fombitz(32388) About Me  (Show Source):
You can put this solution on YOUR website!

It's that simple.

Answer by Boreal(15235) About Me  (Show Source):
You can put this solution on YOUR website!
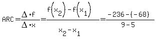
average rate of change is [f(b)-f(a)]/(b-a)
that is (-236-(-68))/(9-5)
=-168/4=-42
This is the secant line between the two points.
graph%28300%2C300%2C-2%2C11%2C-400%2C100%2C-3x%5E2%2B7%29