SOLUTION: It takes Jenny one and a half hours to paint the walls of a room and two hours to paint the ceiling. Martha needs exactly one hour to pain the walls of the same room and one hour t

Algebra ->  Rate-of-work-word-problems -> SOLUTION: It takes Jenny one and a half hours to paint the walls of a room and two hours to paint the ceiling. Martha needs exactly one hour to pain the walls of the same room and one hour t      Log On


   



Question 1000081: It takes Jenny one and a half hours to paint the walls of a room and two hours to paint the ceiling. Martha needs exactly one hour to pain the walls of the same room and one hour to paint the ceiling.
If Jenny and Martha work together, what is the shortest possible time in minutes in which they can paint walls and the ceiling of the room?
The answer is 72 minutes, but I keep getting 76 (14/11).
Please show working.

Answer by josgarithmetic(39630) About Me  (Show Source):
You can put this solution on YOUR website!
The walls is a separate job than the ceiling; otherwise the description would not be very clearly understandable. Try assuming that Jenny and Martha work on one job at the same time, finish it, and then do the next job, also at the same time.

The sum of their individual rates is their effective combined rate on each job.

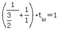
WALLS
%281%2F%283%2F2%29%2B1%2F1%29%2At%5Bw%5D=1

CEILING
%281%2F2%2B1%2F1%29%2At%5Bc%5D=1

Examine how the described rates are placed into those two equations. The time IN HOURS to do BOTH JOBS is t%5Bw%5D%2Bt%5Bc%5D.