SOLUTION: 2 Divided By the square root of 6 Operations with Radicals
Algebra
->
Radicals
-> SOLUTION: 2 Divided By the square root of 6 Operations with Radicals
Log On
Algebra: Radicals -- complicated equations involving roots
Section
Solvers
Solvers
Lessons
Lessons
Answers archive
Answers
Click here to see ALL problems on Radicals
Question 966860
:
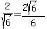
2 Divided By the square root of 6
Operations with Radicals
Answer by
Fombitz(32388)
(
Show Source
):
You can
put this solution on YOUR website!