SOLUTION: simplify please help me learn this and show all work. -sqrt(3) (sqrt (-3)

Algebra ->  Radicals -> SOLUTION: simplify please help me learn this and show all work. -sqrt(3) (sqrt (-3)       Log On


   



Question 93427This question is from textbook
: simplify please help me learn this and show all work. -sqrt(3) (sqrt (-3) This question is from textbook

Answer by jim_thompson5910(35256) About Me  (Show Source):
You can put this solution on YOUR website!
-sqrt%283%29%2Asqrt+%28-3%29 Start with the given expression
-sqrt+%28-3%2A3%29 Combine the roots using the identity sqrt%28x%29%2Asqrt%28y%29=sqrt%28x%2Ay%29

-sqrt+%28-9%29 Multiply

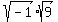
Now lets focus on sqrt+%28-9%29

Solved by pluggable solver: Simplifying Square Roots (whole numbers only)


sqrt%28-9%29 Start with the given expression


sqrt%28-1%2A9%29 Factor out a negative 1


sqrt%28-1%29%2Asqrt%289%29 Break up the square roots using the identity sqrt%28x%2Ay%29=sqrt%28x%29%2Asqrt%28y%29


i%2Asqrt%289%29 Replace sqrt%28-1%29 with i (remember i=sqrt%28-1%29)



Now lets simplify sqrt%289%29:





Since 9 is a perfect square, we can take the square root of 9 to get a clean number

sqrt%289%29=3

So sqrt%28-9%29 simplifies to 3%2Ai (just reintroduce i back in)



So -sqrt+%28-9%29=-3i (just reintroduce the negative back in)