Question 89827: Hi, good afternoon.
Can you please help me with these two problems.
I do not seem to understand how to:
Divide and simplify: ÷
Simplify by rationalizing the denominator:

Thank you so much,
Chocolatechrrys
Answer by Edwin McCravy(20056) (Show Source):
You can put this solution on YOUR website!
Hi, good afternoon.
Can you please help me with these two problems.
I do not seem to understand how to:
Divide and simplify: ÷
Simplify by rationalizing the denominator:
Thank you so much,
Chocolatechrrys
============================================
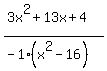
÷
Let's get each polynomial in order of descending powers of x.
Only one isn't, namely . So write the
in order of descending powers of x, that is,
Now factor -1 out of that
÷
We can erase the -1 and put a negative sign in front of the
first fraction
÷
Factor everything:
÷
Invert the second fraction and change the ÷ to multiplication
·
Indicate the multiplication of the numerators and denominator
all as one fraction:
The 's will cancel, and also the 's
So we end up with
You can leave that just asit is, or if you like,
you can multiply the numerator and denominator out:
As you see, we could have gotten by without
factoring the but we had no way
or knowing in advance that neither of its factors
would cancel, and they might have.
=========================================
Put parentheses around the top and bottom:
Form the conjugate of the denominator by
copying it over and changing the sign of
only the second term. So the conjugate
of denominator is
. Now multiply by the
fraction
, which just equals 1.
·
Indicating the multiplication of numerators and
denominators:
Now use FOIL to multiply out:
Multiplying under the radicals
The two middle terms in the top combine as ,
and the two middle terms cancel in the bottom:
Combining the numbers
Factor 2 out of the top:
Cancel the 2 into the 6 and get
Edwin
|
|
|