SOLUTION: The length of a rectangle is 2cm more than 5 times its width. If the area of the rectable is 65cm^2, find the dimensions of the rectable to the nearest thousandth. Do I use a pyth

Algebra ->  Radicals -> SOLUTION: The length of a rectangle is 2cm more than 5 times its width. If the area of the rectable is 65cm^2, find the dimensions of the rectable to the nearest thousandth. Do I use a pyth      Log On


   



Question 89521This question is from textbook algebra
: The length of a rectangle is 2cm more than 5 times its width. If the area of the rectable is 65cm^2, find the dimensions of the rectable to the nearest thousandth.
Do I use a pythagorean theorem to form an equation, I do not understand. please help
This question is from textbook algebra

Answer by scott8148(6628) About Me  (Show Source):
You can put this solution on YOUR website!
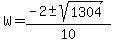
area=L*W ... L=5W+2 ... 65=(5W+2)W ... 5W^2+2W-65=0 ... using quadratic formula gives W=%28-2+%2B-+sqrt%282%5E2-4%2A5%2A%28-65%29%29%29%2F%282%2A5%29

W=%28-2+%2B-+sqrt%281304%29%29%2F10 ... W=3.411 ... L=19.055