SOLUTION: What are the steps to solving this rationalization? 9/2-(sqt7)
Algebra
->
Radicals
-> SOLUTION: What are the steps to solving this rationalization? 9/2-(sqt7)
Log On
Algebra: Radicals -- complicated equations involving roots
Section
Solvers
Solvers
Lessons
Lessons
Answers archive
Answers
Click here to see ALL problems on Radicals
Question 879800
:
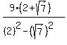
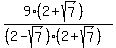
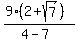
What are the steps to solving this rationalization?
9/2-(sqt7)
Answer by
jim_thompson5910(35256)
(
Show Source
):
You can
put this solution on YOUR website!
Multiply top and bottom by
(this is the conjugate of the denominator)
=======================================================
So