SOLUTION: Can you show me how to Rationalize the denominator and simply the equation 6 / the square root of 2 - the square root of 3.

Algebra ->  Radicals -> SOLUTION: Can you show me how to Rationalize the denominator and simply the equation 6 / the square root of 2 - the square root of 3.      Log On


   



Question 864099: Can you show me how to Rationalize the denominator and simply the equation
6 / the square root of 2 - the square root of 3.

Found 2 solutions by ben720, MathTherapy:
Answer by ben720(159) About Me  (Show Source):
You can put this solution on YOUR website!
6%2Fsqrt%282%29-sqrt%283%29
To rationalize the denominator of 6/sqrt(2), multiply by the fraction sqrt%282%29%2Fsqrt%282%29.
6sqrt%282%29%2F2-sqrt%283%29
Because 6 is a multiple of 2, you can simplify the first fraction:
3sqrt%282%29-sqrt%283%29

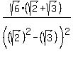
Answer by MathTherapy(10839) About Me  (Show Source):
You can put this solution on YOUR website!
Can you show me how to Rationalize the denominator and simply the equation 
6 / the square root of 2 - the square root of 3.
*********************************************************************
%28highlight%28sqrt%286%29%2F%28sqrt%282%29+-+sqrt%283%29%29%29%29%28%28sqrt%282%29+%2B+sqrt%283%29%29%2F%28sqrt%282%29+%2B+sqrt%283%29%29%29 =  = %28sqrt%2812%29+%2B+sqrt%2818%29%29%2F%282+-+3%29 =