SOLUTION: Please help me simplify this: 5 plus 8 radical 11 over 1 minus radical 11
Algebra
->
Radicals
-> SOLUTION: Please help me simplify this: 5 plus 8 radical 11 over 1 minus radical 11
Log On
Algebra: Radicals -- complicated equations involving roots
Section
Solvers
Solvers
Lessons
Lessons
Answers archive
Answers
Click here to see ALL problems on Radicals
Question 80410
:
Please help me simplify this: 5 plus 8 radical 11 over 1 minus radical 11
Answer by
Earlsdon(6294)
(
Show Source
):
You can
put this solution on YOUR website!
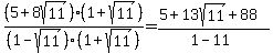
Simplify:
Multiply the numerator and the denominator by the conjugate of
and this is
=