SOLUTION: the problem: (d2-1)/(d2-d) x d/(d-1)= The correct answer is (d+1)/(d-1) but what are the steps to this? (d2= d squared)

Algebra ->  Radicals -> SOLUTION: the problem: (d2-1)/(d2-d) x d/(d-1)= The correct answer is (d+1)/(d-1) but what are the steps to this? (d2= d squared)      Log On


   



Question 756359: the problem: (d2-1)/(d2-d) x d/(d-1)= The correct answer is (d+1)/(d-1) but what are the steps to this? (d2= d squared)
Answer by josgarithmetic(39620) About Me  (Show Source):
You can put this solution on YOUR website!
Very straightforward really.

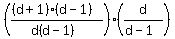
Given: %28d%5E2-1%29%2F%28d%5E2-d%29+%2A+d%2F%28d-1%29
Recognize difference of two squares and distributed factor over a binomial.
%28%28%28d%2B1%29%28d-1%29%29%2F%28d%28d-1%29%29%29%2A%28d%2F%28d-1%29%29
Find the common factors between numerator and denominator.


What stays as factors in numerator and denominator gives finally
%28d%2B1%29%2F%28d-1%29