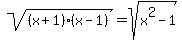
SOLUTION: Use the product rule to multiply. √x+1 * √x-1 = (Type an exact answer, using radicals as needed.)
Algebra
->
Radicals
-> SOLUTION: Use the product rule to multiply. √x+1 * √x-1 = (Type an exact answer, using radicals as needed.)
Log On
Algebra: Radicals -- complicated equations involving roots
Section
Solvers
Solvers
Lessons
Lessons
Answers archive
Answers
Click here to see ALL problems on Radicals
Question 754495
:
Use the product rule to multiply.
√x+1 * √x-1 = (Type an exact answer, using radicals as needed.)
Answer by
tommyt3rd(5050)
(
Show Source
):
You can
put this solution on YOUR website!