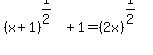
SOLUTION: (x+1)^(1/2)+1=(2x)^(1/2) I've been stuck on this problem forever! I know the answer is 8, just no matter what I tried can't get it.

Algebra ->  Radicals -> SOLUTION: (x+1)^(1/2)+1=(2x)^(1/2) I've been stuck on this problem forever! I know the answer is 8, just no matter what I tried can't get it.       Log On


   



Question 682781: (x+1)^(1/2)+1=(2x)^(1/2)
I've been stuck on this problem forever! I know the answer is 8, just no matter what I tried can't get it.

Answer by ReadingBoosters(3246) About Me  (Show Source):
You can put this solution on YOUR website!
%28x%2B1%29%5E%281%2F2%29+%2B+1+=+%282x%29%5E%281%2F2%29
...
sqrt%28x%2B1%29+%2B+1+=+sqrt%282x%29
...
sqrt%28x%2B1%29-sqrt%282x%29+=+-1
...
%28sqrt%28x%2B1%29-sqrt%282x%29%29%5E2+=+-1%5E2
...

...
x%2B1+-+2sqrt%282x%28x%2B1%29%29+%2B+2x+=+1
...
x%2B1+-+2sqrt%282x%5E2%2B2x%29+%2B+2x+=+1
...
3x+-+2sqrt%282x%5E2%2B2x%29+=+0
...
3x+=+2sqrt%282x%5E2%2B2x%29
...
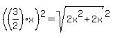
%283%2F2%29x+=+sqrt%282x%5E2%2B2x%29
...
%28%283%2F2%29x%29%5E2+=+sqrt%282x%5E2%2B2x%29%5E2
...
%289%2F4%29x%5E2+=+2x%5E2%2B2x
...
9x%5E2+=+8x%5E2+%2B+8x
...
9x%5E2+-+8x%5E2+-+8x+=+0
...
x%5E2+-+8x+=+0
...
x%28x-8%29=0
...
x = 8
.....................
Have more questions?
Email: HomeworkHelpers@readingboosters.com
Delighted to help.
-Reading Boosters
Website: www.MyHomeworkAnswers.com
Wanting for others what we want for ourselves.