SOLUTION: Hello! please I need help solving 2√20/5√8

Algebra ->  Radicals -> SOLUTION: Hello! please I need help solving 2√20/5√8      Log On


   



Question 674939: Hello! please I need help solving 2√20/5√8
Answer by ReadingBoosters(3246) About Me  (Show Source):
You can put this solution on YOUR website!
%282sqrt%2820%29%29+%2F+%285sqrt%288%29%29
...
%282sqrt%284%2A5%29%29%2F%285sqrt%284%2A2%29%29
...
%282%2A2sqrt%285%29%29%2F%285%2A2sqrt%282%29%29
...
%284sqrt%285%29%29%2F%2810sqrt%282%29%29
...
%284sqrt%285%29%2F10sqrt%282%29%29%28sqrt%282%29%2Fsqrt%282%29%29
...
%284sqrt%285%29sqrt%282%29%29%2F%2810sqrt%282%29sqrt%282%29%29
...
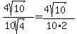
%284sqrt%2810%29%29%2F%2810sqrt%284%29%29+=+%284sqrt%2810%29%29%2F%2810%2A2%29
...
%28cross%284%29%2Asqrt%2810%29%29%2F%285%2Across%2820%29%29
...
highlight_green%28sqrt%2810%29%2F5%29
.....................
Delighted to help.
-Reading Boosters
Website: www.MyHomeworkAnswers.com
Wanting for others what we want for ourselves.