SOLUTION: This problem involves a radical in the denominator. Please I would like to know how to solve this step by step. (3x + 3)÷<font face="symbol">Ö</font><span style="text-decoration

Algebra ->  Radicals -> SOLUTION: This problem involves a radical in the denominator. Please I would like to know how to solve this step by step. (3x + 3)÷<font face="symbol">Ö</font><span style="text-decoration      Log On


   



Question 642027: This problem involves a radical in the denominator. Please I would like to know how to solve this step by step.
(3x + 3)÷Öx + 1

Answer by Edwin McCravy(20066) About Me  (Show Source):
You can put this solution on YOUR website!
 
(3x + 3)÷Öx + 1

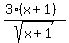
Write as a fraction:

%283x%2B3%29%2Fsqrt%28x%2B1%29

Factor 3 out of the numerator:

%283%28x%2B1%29%29%2Fsqrt%28x%2B1%29

Multiply by sqrt%28x%2B1%29%2Fsqrt%28x%2B1%29, which just equals 1:

%283%28x%2B1%29%29%2Fsqrt%28x%2B1%29·sqrt%28x%2B1%29%2Fsqrt%28x%2B1%29

Indicate the multiplication of numerators and denominators:

%283%28x%2B1%29sqrt%28x%2B1%29%29%2F%28sqrt%28x%2B1%29sqrt%28x%2B1%29%29

A square root multiplied by itself is the same as squaring the
square root so it takes away the sqrt%28%22%22%29.

%283%28x%2B1%29sqrt%28x%2B1%29%29%2F%28x%2B1%29

Now we can cancel the (x+1)'s

%283%28cross%28x%2B1%29%29sqrt%28x%2B1%29%29%2F%28cross%28x%2B1%29%29

All that's left is:

3Öx + 1

Edwin