SOLUTION: please help me solve this question {{{ 25+9r^4+r^8 }}} this is factor completely not radical
Algebra
->
Radicals
-> SOLUTION: please help me solve this question {{{ 25+9r^4+r^8 }}} this is factor completely not radical
Log On
Algebra: Radicals -- complicated equations involving roots
Section
Solvers
Solvers
Lessons
Lessons
Answers archive
Answers
Click here to see ALL problems on Radicals
Question 639414
:
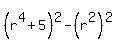
please help me solve this question
this is factor completely not radical
Answer by
reviewermath(1029)
(
Show Source
):
You can
put this solution on YOUR website!
=
=
=