SOLUTION: which of these points is 5 units away from the point (6,-1) a. (6+sqrt2,6-sqrt2) b. (3,3) c. 6+sqrt2, -1+sqrt2) d. (0,5)

Algebra ->  Radicals -> SOLUTION: which of these points is 5 units away from the point (6,-1) a. (6+sqrt2,6-sqrt2) b. (3,3) c. 6+sqrt2, -1+sqrt2) d. (0,5)      Log On


   



Question 635749: which of these points is 5 units away from the point (6,-1)
a. (6+sqrt2,6-sqrt2)
b. (3,3)
c. 6+sqrt2, -1+sqrt2)
d. (0,5)

Found 2 solutions by MathLover1, ewatrrr:
Answer by MathLover1(20850) About Me  (Show Source):
You can put this solution on YOUR website!

answer: (3,3)
proof:
Distance Separating Points +d=sqrt%28%28x2+-+x1%29%5E2+%2B+%28y2+-+y1%29%5E2%29
+d=sqrt%28%283+-+6%29%5E2+%2B+%283+-+%28-1%29%29%5E2%29
+d=sqrt%28%28-+3%29%5E2+%2B+%283+%2B1%29%5E2%29
+d=sqrt%289+%2B+%284%29%5E2%29%29
d=+sqrt%289+%2B+16%29
+d=sqrt%2825%29
d=+5

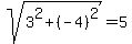
Answer by ewatrrr(24785) About Me  (Show Source):
You can put this solution on YOUR website!
 
Hi,
(6,-1)
(3,3) D = sqrt%283%5E2+%2B+%28-4%29%5E2%29+=+5