SOLUTION: Pllease help me solve this equation..express in simplest radical form 16 sqrt (21)/2sqrt (7) minus 5sqrt (12) Thank u

Algebra ->  Radicals -> SOLUTION: Pllease help me solve this equation..express in simplest radical form 16 sqrt (21)/2sqrt (7) minus 5sqrt (12) Thank u      Log On


   



Question 620260: Pllease help me solve this equation..express in simplest radical form 16 sqrt (21)/2sqrt (7) minus 5sqrt (12)
Thank u

Answer by Alan3354(69443) About Me  (Show Source):
You can put this solution on YOUR website!
Pllease help me solve this equation..express in simplest radical form 16 sqrt (21)/2sqrt (7) minus 5sqrt (12)
---------------
No equation is shown.
---------
express in simplest radical form 16 sqrt (21)/2sqrt (7) minus 5sqrt (12)
16sqrt%2821%29%2F%282sqrt%287%29+-+5sqrt%2812%29%29
= 16sqrt%2821%29%2F%282sqrt%287%29+-+10sqrt%283%29%29
= 8sqrt%2821%29%2F%28sqrt%287%29+-+5sqrt%283%29%29
-----------
Multiply NUM and DEN by the conjugate of the DEN
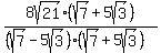
=
= %288sqrt%28147%29+%2B+40sqrt%2821%29%29%2F%287+-+25%2A3%29
= %2856sqrt%283%29+%2B+40sqrt%2821%29%29%2F%28-68%29
= -%2814sqrt%283%29+%2B+10sqrt%2821%29%29%2F17