SOLUTION: Please help me solve this equation, I keep coming up with the wrong answer:
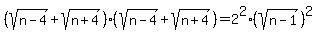
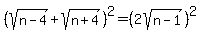
{{{sqrt(n-4)+ sqrt(n+4)=2sqrt(n-1)}}}
Algebra ->
Radicals
-> SOLUTION: Please help me solve this equation, I keep coming up with the wrong answer:
{{{sqrt(n-4)+ sqrt(n+4)=2sqrt(n-1)}}}
Log On
You can put this solution on YOUR website!
:
Yopu must always check these kinds of equations for extraneous solutions by subtituting 5 in for n in the original equation. We've got a solution!!!
Happy Calculating!!!