SOLUTION: Solve the equation by completing the square. The equation has real number solutions. 4p^2-32p+29=0

Algebra ->  Radicals -> SOLUTION: Solve the equation by completing the square. The equation has real number solutions. 4p^2-32p+29=0      Log On


   



Question 436855: Solve the equation by completing the square. The equation has real number solutions.
4p^2-32p+29=0

Answer by Edwin McCravy(20060) About Me  (Show Source):
You can put this solution on YOUR website!
4p%5E2-32p%2B29=0

Get the constant term +29 off the left side:

4p%5E2-32p=-29


Divide through by the leading coefficient 4

%284p%5E2%29%2F4-%2832p%29%2F4=-29%2F4

p%5E2-8p=-29%2F4

To the side, multiply the coefficient of p, which is -8
by 1/2, getting -4, then square -4, getting (-4)² = 16.
Then add +16 to both sides:

p%5E2-8p%2B16=-29%2F4%2B16

This causes the left side to became a trinomial which
when factored becomes a perfect square.  And we get an
LCD on the right of 4 


%28p-4%29%28p-4%29+=+-29%2F4%2B64%2F4

Write the left side as a perfect square.  Combine
the fractions on the right:

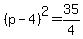
%28p-4%29%5E2=35%2F4

Use the principle of square roots:

p-4=+%22%22+%2B-+sqrt%2835%2F4%29

We can take the square root of 4 on the bottom
on the right:

p-4=+%22%22+%2B-+sqrt%2835%29%2F2

Solve for p by adding 4 to both sides:

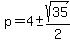
p=4+%2B-+sqrt%2835%29%2F2

You can leave it like that or you can
get an LCD of 2

p=8%2F2+%2B-+sqrt%2835%29%2F2

And then combine the two fractions

p=%288%2B-+sqrt%2835%29%29%2F2

The two solutions are:

p=%288%2B+sqrt%2835%29%29%2F2 and p=%288-+sqrt%2835%29%29%2F2

Edwin