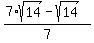
You can put this solution on YOUR website!
I am guessing that the answer should be left as radicals, rather than punched into the calculator. So, lets examine the problem:
Split the numerator and denominator of the fraction
=
Now we want to get the radical out of the denominator. Simply multiply by "1", or square root of seven over itself:
=
Multiply through both numerator and denominator:
=
Multiply the first radical by 7/7 to get common denominator:
=
And simplify:
=
=