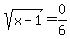
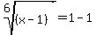
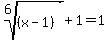
SOLUTION: Solve 6(the square root of x-1)+1=1. So what does x=?
Algebra
->
Radicals
-> SOLUTION: Solve 6(the square root of x-1)+1=1. So what does x=?
Log On
Algebra: Radicals -- complicated equations involving roots
Section
Solvers
Solvers
Lessons
Lessons
Answers archive
Answers
Click here to see ALL problems on Radicals
Question 405150
:
Solve 6(the square root of x-1)+1=1. So what does x=?
Found 2 solutions by
Tatiana_Stebko, MathLover1
:
Answer by
Tatiana_Stebko(1539)
(
Show Source
):
You can
put this solution on YOUR website!
.
Check the answer
-correct
.
Answer
Answer by
MathLover1(20855)
(
Show Source
):
You can
put this solution on YOUR website!
check: