SOLUTION: How will I solve (z+2)¯⅔ = 3
Algebra
->
Radicals
-> SOLUTION: How will I solve (z+2)¯⅔ = 3
Log On
Algebra: Radicals -- complicated equations involving roots
Section
Solvers
Solvers
Lessons
Lessons
Answers archive
Answers
Click here to see ALL problems on Radicals
Question 373820
:
How will I solve
(z+2)¯⅔ = 3
Answer by
robertb(5830)
(
Show Source
):
You can
put this solution on YOUR website!
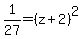
The equation becomes
, or
, or
or
by applying the square-root principle. Therefore
or