SOLUTION: Please help me solve: sqrt*(x) = sqrt*(x - 2) - 4

Algebra ->  Radicals -> SOLUTION: Please help me solve: sqrt*(x) = sqrt*(x - 2) - 4      Log On


   



Question 35044: Please help me solve:

sqrt*(x) = sqrt*(x - 2) - 4

Answer by longjonsilver(2297) About Me  (Show Source):
You can put this solution on YOUR website!
+sqrt%28x%29+=+sqrt%28x-2%29+-+4+

Now square both sides:
+%28sqrt%28x%29%29%5E2+=+%28sqrt%28x-2%29+-+4%29%5E2+
+x+=+%28sqrt%28x-2%29+-+4%29%28sqrt%28x-2%29+-+4%29+
+x+=+sqrt%28x-2%29sqrt%28x-2%29+-+4sqrt%28x-2%29+-+4sqrt%28x-2%29+%28-4%29%28-4%29%29+
+x+=+%28x-2%29+-+8sqrt%28x-2%29+%2B+16+
+x+=+x+-+8sqrt%28x-2%29+%2B+14+
+0+=++-+8sqrt%28x-2%29+%2B+14+
+8sqrt%28x-2%29+=+14+
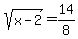
+sqrt%28x-2%29+=+14%2F8+
+sqrt%28x-2%29+=+7%2F4+
+x-2+=+%287%2F4%29%5E2+
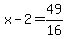
+x-2+=+49%2F16+
+x+=+2+%2B+49%2F16+
+x+=+32%2F16+%2B+49%2F16+
+x+=+81%2F16+

Now, if you put this value into the original and take the square root, remember that that gives either 9/4 OR -9/4.

jon.