SOLUTION: Hello. Here is my question. I know how to solve this problem if it didn't have the second square root in front of the "x" on the left of the equality. I would show you work but all
Algebra ->
Radicals
-> SOLUTION: Hello. Here is my question. I know how to solve this problem if it didn't have the second square root in front of the "x" on the left of the equality. I would show you work but all
Log On
Question 32069: Hello. Here is my question. I know how to solve this problem if it didn't have the second square root in front of the "x" on the left of the equality. I would show you work but all I have been able to do is move the -1 over to the left side (as a +1). After that, I can't do anything else until I get rid of the squareroot in front of the "x". Here is the problem: .
Thank you for any help you can provide.
-Chris Found 2 solutions by Cintchr, stanbon:Answer by Cintchr(481) (Show Source):
You can put this solution on YOUR website!
I, too, would move the 1 to the left first.
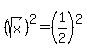
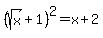
Square both sides
on the right, the square cancels the root
Foil the left side
F :
O :
I :
L :
Bring it all together
Move the x and the 1 to the right by subtracting
divide by 2
square both sides again
Plug the 1/4 into the original equation to check
YES!!!
So x does equal 1/4
You can put this solution on YOUR website! sqrtx-sqrt(x+2)=-1
Square both sides to get:
[x-2(sqrtx(x+2))+x+2=1
Simplify:
2x+2-2sqrt[x^2+2x]=1
Rewrite as follows:
2sqrt[x^2+2x]=2x+1
Square both sides to get:
4(x^2+2x]=4x^2+4x+1
8x=4x+1
4x=1
x=1/4
Check that answer in the original equation.
It works.
Cheers,
Stan H.