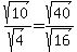
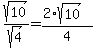
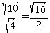
SOLUTION: How do you simplify square root 10 over square root 4? do you multiply both terms by sqaure root 4 and get sqaure root 40 and then the bottom sqaure root 16? then how do you simpli
Algebra ->
Radicals
-> SOLUTION: How do you simplify square root 10 over square root 4? do you multiply both terms by sqaure root 4 and get sqaure root 40 and then the bottom sqaure root 16? then how do you simpli
Log On
Question 303317: How do you simplify square root 10 over square root 4? do you multiply both terms by sqaure root 4 and get sqaure root 40 and then the bottom sqaure root 16? then how do you simplify it? Found 2 solutions by user_dude2008, Fombitz:Answer by user_dude2008(1862) (Show Source):