SOLUTION: Solve for x: (x+2)^.5 + (3x+4)^.5 = 2

Algebra ->  Radicals -> SOLUTION: Solve for x: (x+2)^.5 + (3x+4)^.5 = 2       Log On


   



Question 271153: Solve for x:
(x+2)^.5 + (3x+4)^.5 = 2

Answer by jsmallt9(3759) About Me  (Show Source):
You can put this solution on YOUR website!
%28x%2B2%29%5E.5+%2B+%283x%2B4%29%5E.5+=+2
.5 as a fraction is 1/2 and 1/2 as an exponent means square root:
sqrt%28x%2B2%29%2B+sqrt%283x%2B4%29+=+2
To solve an equation with the variable inside one or more square roots:
  1. Isolate a square root
  2. Square both sides of the equation. This will eliminate the isolated square root.
  3. If there is still a square root left, repeat steps #1 and #2.
  4. (At this point you should have an equation without any square roots.) Solve the equation using techniques appropriate to the type of equation you now have.
  5. Check your answers. This is required, not just a good idea. At step #2 we square both sides of an equation. Whenever this is done, extraneous solutions may be introduced. Extraneous solutions are solutions which fit the squared equation but do not fit the original equation.

Let's see how this works on your equation.
1. Isolate a square root. You have two square roots. Isolate either one. I will start by isolating sqrt%28x%2B2%29 by subtracting the other square root from each side:
sqrt%28x%2B2%29+=+2+-+sqrt%283x%2B4%29

2. Square both sides:
%28sqrt%28x%2B2%29%29%5E2+=+%282+-+sqrt%283x%2B4%29%29%5E2
Be sure to square the right side correctly. Exponents do not distribute. Use FOIL or the pattern %28a+-+b%29%5E2+=+a%5E2+-2ab+%2B+b%5E2 to square the expression.
x%2B2+=+4+-+4sqrt%283x%2B4%29+%2B+3x+%2B+4
Simplifying we get:
x%2B2+=+8+-+4sqrt%283x%2B4%29+%2B+3x

3. If there's still a square root, repeat steps #1 and #2. There's still a square root so...

1. Isolate a square root. We'll subtract 8 and 3x from each side:
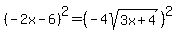
-2x+-+6+=+-4sqrt%283x%2B4%29
The -4 on the right is not a problem. It will not prevent squaring both sides from eliminating the square root that follows it. But if you're worried about it you can divide both sides by -4.

2. Square both sides:
%28-2x+-+6%29%5E2+=+%28-4sqrt%283x%2B4%29%29%5E2
Again, be careful squaring the left side.
4x%5E2+%2B24x+%2B+36+=+16%283x%2B4%29
which simplifies to:
4x%5E2+%2B24x+%2B+36+=+48x%2B64

3. If there is still a square root.... There are no more square roots so we can proceed to step #4.

4. Solve the equation. This is a quadratic equation because of the x%5E2 term. So we will start to solve it by getting one side equal to zero. Subtracting 48x and 64 from each side we get:
4x%5E2+-24x+-+28+=+0
Next we factor (or use the Quadratic Formula). This factors fairly easily. Start with the Greatest Common Factor (GCF). The GCF here is 4:
4%28x%5E2+-6x+-+7%29+=+0
Then the trinomial factors. The factors of -7 that add up to -6 are -7 and 1. So
4%28x-7%29%28x%2B1%29+=+0
From the Zero Product Property we know that this product can be zero only if one of the factors is zero. 4 cannot be zero but the other two factor could. So:
x-7+=+0 or x+%2B+1+=+0
Solving these we get:
x+=+7 or x+=+-1

5. Check the solutions. (Remember, when you square both sides of the equation checking the solutions is not optional.) Always use the original equation to check.
sqrt%28x%2B2%29%2B+sqrt%283x%2B4%29+=+2
Checking x = 7:
sqrt%28%287%29%2B2%29%2B+sqrt%283%287%29%2B4%29+=+2
sqrt%289%29%2B+sqrt%2825%29+=+2
3+%2B+5+=+2
8+=+2 Does NOT check. x = 7 is an extraneous solution. We reject it.

Checking x = -1:
sqrt%28%28-1%29%2B2%29%2B+sqrt%283%28-1%29%2B4%29+=+2
sqrt%281%29%2B+sqrt%281%29+=+2
1+%2B+1+=+2
2+=+2 Check!

So the only solution to your equation is x = -1.