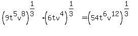
SOLUTION: I need step by step help to simplify a problem cubed root of 9t^5v^8 times the cubed root of 6tv^4.

Algebra ->  Radicals -> SOLUTION: I need step by step help to simplify a problem cubed root of 9t^5v^8 times the cubed root of 6tv^4.      Log On


   



Question 259337: I need step by step help to simplify a problem cubed root of 9t^5v^8 times the cubed root of 6tv^4.
Answer by Fombitz(32388) About Me  (Show Source):
You can put this solution on YOUR website!
Remember
x%5EM%2Ax%5EN=x%5E%28M%2BN%29
%28x%5E%28M%29%29%5EN=x%5E%28M%2AN%29
.
.
.




%289t%5E5v%5E8%29%5E%281%2F3%29%2A%286tv%5E4%29%5E%281%2F3%29+=3%2A2%5E%281%2F3%29t%5E2v%5E4