SOLUTION: Hi. My question is how do I write the following in simplified radical form by rationalizing the denominator? 2sqrt2+1 ________ -5sqrt2+3 I've been at it for 2 hours.

Algebra ->  Radicals -> SOLUTION: Hi. My question is how do I write the following in simplified radical form by rationalizing the denominator? 2sqrt2+1 ________ -5sqrt2+3 I've been at it for 2 hours.      Log On


   



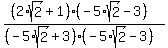
Question 248888: Hi. My question is how do I write the following in simplified radical form by rationalizing the denominator?
2sqrt2+1
________
-5sqrt2+3
I've been at it for 2 hours. I've tried using the conjugate but it's confusing because it seems to be written in a different form than the textbook. I've gotten 2 different answers, the latest one being:
-3-21sqrt2
__________

41
I'm not sure if I doing this right. If someone could help me, it would be greatly appreciated. Thank you.

Answer by Theo(13342) About Me  (Show Source):
You can put this solution on YOUR website!
your equation is:

%282%2Asqrt%282%29+%2B+1%29+%2F+%28-5%2Asqrt%282%29+%2B+3%29

the conjugate of the denominator would be %28-5%2Asqrt%282%29+-+3%29

multiply the expression by %28-5%2Asqrt%282%29+-+3%29+%2F+%28-5%2Asqrt%282%29+-+3%29 to get:



perform the indicated operations to get:

%28-23+-+11%2Asqrt%282%29%29+%2F+41

you got the denominator ok.

you got pieces of the numerator ok but something went wrong somewhere.

the numerator became:

%28%282%2Asqrt%282%29+%2B+1%29+%2A+%28-5%2Asqrt%282%29+-+3%29%29

multiplying these terms together you would get:

2%2Asqrt%282%29+%2A+-5%2Asqrt%282%29+=+-10%2Asqrt%282%29%5E2+=+-10%2A2+=+-20
2%2Asqrt%282%29+%2A+-3+=+-6%2Asqrt%282%29
1+%2A+-5%2Asqrt%282%29+=+-5%2Asqrt%282%29
1+%2A+-3+=+-3

combining like terms you would get %28-23-11%2Asqrt%282%29%29

your answer is %28-23-11%2Asqrt%282%29%29%2F41.