SOLUTION: Is the square root of x squared =x an identity (true for all values of x)? Explain.
Algebra
->
Radicals
-> SOLUTION: Is the square root of x squared =x an identity (true for all values of x)? Explain.
Log On
Algebra: Radicals -- complicated equations involving roots
Section
Solvers
Solvers
Lessons
Lessons
Answers archive
Answers
Click here to see ALL problems on Radicals
Question 24473
:
Is the square root of x squared =x an identity (true for all values of x)? Explain.
Answer by
josmiceli(19441)
(
Show Source
):
You can
put this solution on YOUR website!
It's not an identity.
can be plus or minus, that holds for all square roots.
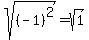
Lets say x = -1
because (-1)^2 is +1
because square root always can be + or -
-1 = -1
but
+1 not = -1